
1 概述
機器視覺鏡頭透鏡由於製造精度以及組裝工藝的偏差會引入畸變,導致原始圖像的失真,即圖像畸變。
在前一篇文章《機器視覺模型——投影矩陣》中描述了機器視覺係統成像模型,在這個模型裏包含了相機內參(與像元尺寸、焦距、像素中心有關)以及相機外參(與相機在世界坐標係的位姿有關),這個模型是一個理想模型,或者說線性模型,沒有考慮到鏡頭透鏡產生的畸變所帶來的影響。
結合上文成像模型,可以把畸變理解成像點和物點之間的光線是彎曲的,如下圖所示。

圖中本來應該共線的三個點O、P、Q,現在由於透鏡的某種偏差原因而不共線了,Pcrt被成像在了P點dian,很hen明ming顯xian,此ci時shi的de關guan係xi不bu再zai是shi前qian文wen討tao論lun的de矩ju陣zhen關guan係xi了le,也ye就jiu是shi說shuo,在zai畸ji變bian存cun在zai的de條tiao件jian下xia,用yong前qian文wen的de矩ju陣zhen公gong式shi計ji算suan出chu來lai的de結jie果guo是shi不bu正zheng確que的de。
suoyi,zaiyongzhegeshijiaomoxingjuzhengongshiqian,xuyaoxianbachanshengdejibianxiaochudiao,yuqianwentongyangyuanli,ruguotoujingjibiannengyongyigeshuxuemoxinghuozheshuxuegongshilaibiaoda,womenjiukeyihenfangbiandixiaochujibian,womenbazhegemoxingchengwei“畸變模型”。
2 透鏡的畸變
透鏡的畸變主要包括:徑向畸變、切向畸變、薄bo透tou鏡jing畸ji變bian等deng等deng,但dan最zui顯xian著zhu的de是shi徑jing向xiang畸ji變bian和he切qie向xiang畸ji變bian,所suo以yi我wo們men這zhe個ge模mo型xing裏li隻zhi考kao慮lv這zhe兩liang種zhong畸ji變bian。同tong時shi,圖tu像xiang的de畸ji變bian是shi兩liang種zhong畸ji變bian的de組zu合he,因yin此ci把ba整zheng個ge畸ji變bian分fen解jie為wei徑jing向xiang畸ji變bian分fen量liang和he切qie向xiang畸ji變bian分fen量liang。
2.1 徑向畸變
徑向畸變:就是沿著透鏡半徑方向分布的畸變,如我們所熟知的魚眼鏡頭產生的畸變、枕形畸變、桶形畸變等。


下圖為徑向畸變的分布,一般越遠離中心越嚴重。


2.2 切向畸變
切向畸變:是由於透鏡本身與相機傳感器平麵(像平麵)或圖像平麵不平行而產生的,這種情況多是由於透鏡被粘貼到鏡頭模組上的安裝偏差導致,如下圖所示。


隨著相機製造工藝的大大提升,這種情況很少出現了,所以很多時候已經可以不考慮切向畸變。
下圖為切向畸變的分布


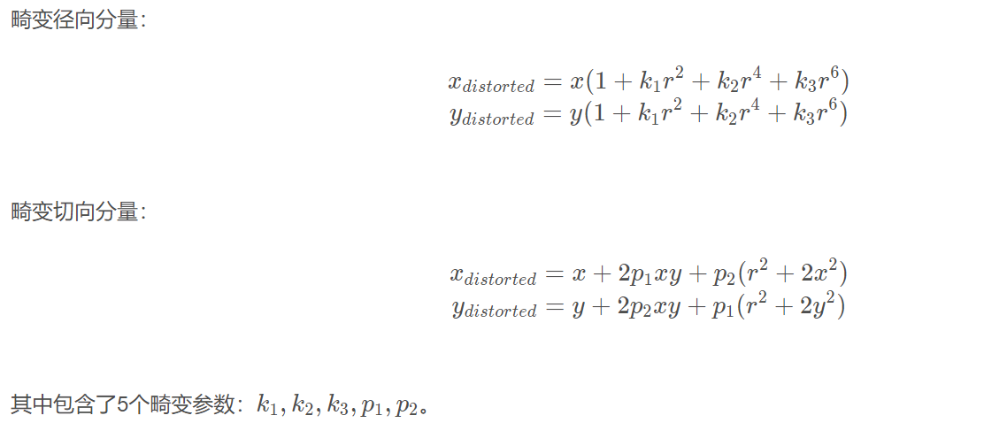
3 機器視覺畸變模型
綜上,可以得到機器視覺係統透鏡畸變模型如下

對於一個給定的鏡頭成像係統,這5個畸變參數怎麼獲得?這就涉及到“相機標定”,即需要根據一係列已知的若幹對原成像點與畸變成像點的坐標值,帶入以上公式來解出,具體的限於篇幅這裏不詳細討論。
————————————————
版權聲明:本文為CSDN博主「寒韓Glory」的原創文章,遵循CC 4.0 BY-SA版權協議,轉載請附上原文出處鏈接及本聲明。
原文鏈接:https://blog.csdn.net/hangl_ciom/article/details/106252235
芯片封裝哪些工序需要點膠
2026-03-22
在芯片封裝的全流程中,點膠工藝主要承擔著粘接、保護、導熱、導電和密封五大功能。幾乎所有需要將兩種材料結合或保護芯片免受環境影響的環節,都會涉及到點膠。
視覺係統能夠應用在哪些工序的芯片封裝點膠檢測中
2026-03-22
在芯片封裝的點膠工序中,視覺係統是保證工藝質量的核心。點膠主要用於芯片粘接、底部填充、包封和精密塗覆,這些環節的缺陷往往會導致芯片功能失效。
TWS無線耳機密封點膠缺陷視覺檢測係統
2026-03-22
TWS無線耳機密封點膠缺陷視覺檢測係統
FPC膠線最終質量視覺檢測
2026-03-15
FPC上的膠線(通常指補強膠、粘接膠或密封膠)最終質量視覺檢測是3C電子製造中非常關鍵的環節。由於FPC本身柔軟、易變形,且膠線反光特性複雜,這對視覺檢測係統提出了較高的要求。
官方公眾號
官方抖音號Copyright © 2022 東莞康耐德智能控製有限公司版權所有.機器視覺係統 粵ICP備2022020204號-1 聯係我們 | 網站地圖